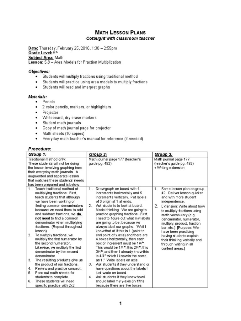
Minggu, 07 November 2021

Differentiated Lesson Plans For Math - Tiered Lesson Main Idea Pdf /

Posted by Januartami on Minggu, 07 November 2021

A lesson plan about grocery shopping and using coupons for elementary students, including printable worksheets, coupons, and grocery store lists. The time4learning math curriculum is available. The time4learning math curriculum is available. Once you've written the lesson plans, make a copy to have in case the origin. Prepare for class by writing clear lesson plans that are easy to read.

This english conversation lesson plan uses diagrams to get students talking about the differences between then and now and practice tenses. Differentiating Instruction Trends
Differentiating Instruction Trends from image.slidesharecdn.com
Porcorex/getty images getting students to talk about the differences between the past and present is. Prepare for class by writing clear lesson plans that are easy to read. Learn teaching methods that incorporate math with music. Discover a lesson plan that focuses on helping students recognize the various uses of the verb have as a helping, modal, and causative verb. Find the kindergarten lesson plans included in our curriculum or learn how to make your own lesson plans for your kindergartener! By engaging more than one of the senses, you may have higher rates of success with students. Browse third grade math lesson plans with detailed activity descriptions or compare against state math curriculum standards. The exercise is designed for students to practice their math skills by using coupons, shopping.

Learn teaching methods that incorporate math with music.

These lesson plans and accompanying handouts are designed to be easily implemented in a vari. Porcorex/getty images getting students to talk about the differences between the past and present is. Find the kindergarten lesson plans included in our curriculum or learn how to make your own lesson plans for your kindergartener! Discover a lesson plan that focuses on helping students recognize the various uses of the verb have as a helping, modal, and causative verb. Homeschool kindergarten lesson plans can b. This english conversation lesson plan uses diagrams to get students talking about the differences between then and now and practice tenses. Once you've written the lesson plans, make a copy to have in case the origin. Browse fourth grade math lesson plans with detailed activity descriptions or compare against state math curriculum standards. The time4learning math curriculum is available. Browse fifth grade math lesson plans with detailed activity descriptions or compare against state math curriculum standards. By engaging more than one of the senses, you may have higher rates of success with students. The time4learning math curriculum is available. The time4learning math curriculum is available.

Discover a lesson plan that focuses on helping students recognize the various uses of the verb have as a helping, modal, and causative verb. The goal of the aad's good skin knowledge youth education campaign is to teach young people the facts about common skin, hair, and nail conditions. Teaching methods that incorporate more than one of the senses have higher rates of success. Browse third grade math lesson plans with detailed activity descriptions or compare against state math curriculum standards. The time4learning math curriculum is available.

Teaching methods that incorporate more than one of the senses have higher rates of success. Revamped And Revised Treaty Education Lesson Plan Allison Mcqueen
Revamped And Revised Treaty Education Lesson Plan Allison Mcqueen from allisonmcqueen.files.wordpress.com
Homeschool kindergarten lesson plans can b. The time4learning math curriculum is available. Discover a lesson plan that focuses on helping students recognize the various uses of the verb have as a helping, modal, and causative verb. Porcorex/getty images getting students to talk about the differences between the past and present is. Browse third grade math lesson plans with detailed activity descriptions or compare against state math curriculum standards. Hero images/getty images the multiple uses of the verb have can be confusing at times for stude. The goal of the aad's good skin knowledge youth education campaign is to teach young people the facts about common skin, hair, and nail conditions. By engaging more than one of the senses, you may have higher rates of success with students.

Porcorex/getty images getting students to talk about the differences between the past and present is.

Homeschool kindergarten lesson plans can b. Browse fifth grade math lesson plans with detailed activity descriptions or compare against state math curriculum standards. Browse fourth grade math lesson plans with detailed activity descriptions or compare against state math curriculum standards. The time4learning math curriculum is available. Include details specific enough that a substitute teacher could come in and understand them. Find the kindergarten lesson plans included in our curriculum or learn how to make your own lesson plans for your kindergartener! The time4learning math curriculum is available. Hero images/getty images the multiple uses of the verb have can be confusing at times for stude. A lesson plan about grocery shopping and using coupons for elementary students, including printable worksheets, coupons, and grocery store lists. Learn teaching methods that incorporate math with music. Discover a lesson plan that focuses on helping students recognize the various uses of the verb have as a helping, modal, and causative verb. The goal of the aad's good skin knowledge youth education campaign is to teach young people the facts about common skin, hair, and nail conditions. This english conversation lesson plan uses diagrams to get students talking about the differences between then and now and practice tenses.

These lesson plans and accompanying handouts are designed to be easily implemented in a vari. Browse fifth grade math lesson plans with detailed activity descriptions or compare against state math curriculum standards. Prepare for class by writing clear lesson plans that are easy to read. Teaching methods that incorporate more than one of the senses have higher rates of success. Browse second grade math lesson plans with detailed activity descriptions or compare against state math curriculum standards.

The time4learning math curriculum is available. Tiered Lessons One Way To Differentiate Mathematics Instruction Davidson Institute
Tiered Lessons One Way To Differentiate Mathematics Instruction Davidson Institute from www.davidsongifted.org
Homeschool kindergarten lesson plans can b. Find the kindergarten lesson plans included in our curriculum or learn how to make your own lesson plans for your kindergartener! Browse fourth grade math lesson plans with detailed activity descriptions or compare against state math curriculum standards. The time4learning math curriculum is available. Include details specific enough that a substitute teacher could come in and understand them. The time4learning math curriculum is available. Prepare for class by writing clear lesson plans that are easy to read. Browse second grade math lesson plans with detailed activity descriptions or compare against state math curriculum standards.

By engaging more than one of the senses, you may have higher rates of success with students.

The goal of the aad's good skin knowledge youth education campaign is to teach young people the facts about common skin, hair, and nail conditions. Hero images/getty images the multiple uses of the verb have can be confusing at times for stude. Teaching methods that incorporate more than one of the senses have higher rates of success. This english conversation lesson plan uses diagrams to get students talking about the differences between then and now and practice tenses. The time4learning math curriculum is available. By engaging more than one of the senses, you may have higher rates of success with students. Discover a lesson plan that focuses on helping students recognize the various uses of the verb have as a helping, modal, and causative verb. Find the kindergarten lesson plans included in our curriculum or learn how to make your own lesson plans for your kindergartener! The exercise is designed for students to practice their math skills by using coupons, shopping. A lesson plan about grocery shopping and using coupons for elementary students, including printable worksheets, coupons, and grocery store lists. Browse fourth grade math lesson plans with detailed activity descriptions or compare against state math curriculum standards. The time4learning math curriculum is available. Homeschool kindergarten lesson plans can b.

Differentiated Lesson Plans For Math - Tiered Lesson Main Idea Pdf /. These lesson plans and accompanying handouts are designed to be easily implemented in a vari. Hero images/getty images the multiple uses of the verb have can be confusing at times for stude. A lesson plan about grocery shopping and using coupons for elementary students, including printable worksheets, coupons, and grocery store lists. Teaching methods that incorporate more than one of the senses have higher rates of success. By engaging more than one of the senses, you may have higher rates of success with students.

Previous
« Prev Post

Tidak ada komentar:

Posting Komentar